[Coursera1] Neural-Networks-Deep-Learning : Logistic Regression - Loss /Cost Function, BackPropagation(w,b), Vectorization

๊ฐ training dataset์ ๋ํ Loss๊ฐ์
1) ํ๊ท (๊ฐ์์์๋ ํ๊ท ๊ฐ ์ฌ์ฉ)
2) ์ค์๊ฐ
๋ฑ์ ์ด์ฉํด์ ์ ์ฒด training dataset์ ๋ํ Cost Function์ ์ ์ํ๋ค.

์ด๊ธฐ๊ฐ์์ ๋ถํฐ,
Gradient Descent์ ํตํด์,
Cost Function์ด ์ต์ํ๋๋ w์ b๋ฅผ ์ฐพ๋ ๊ฒ(=Global Optimization์ ๊ฐ๊น์ด w,b)์ด ๋ชฉํ์ด๋ค.

Back Propagation Step ์ ํตํด ์ ์ฒด training dataset์ ์ ํฉํ w,b๋ฅผ ์ฐพ์๋ณด์
= Backward Pass
= Gradient(๊ธฐ์ธ๊ธฐ)๋ Derivation(๋ํจ์)
๋จผ์ , Back Propagationํ์ฌ Loss Function์ ์ต์ํํ๋
๊ฐ์ ๊ตฌํด๋ณด์ (๋จ์ผ TrainingSet์ ๋ํ์ฌ w,b ๊ตฌํ๊ธฐ)

์์ ์์ Cost Function๋ ๊ฐ training dataset์ Loss๊ฐ์ ํ๊ท ์ด๋ค.
Back Propagationํ์ฌ Cost Function์ ์ต์ํํ๋ ๊ฐ์ ๊ตฌํด๋ณด์ (๋ชจ๋ TrainingSet์ ๋ํ์ฌ w,b ๊ตฌํ๊ธฐ)

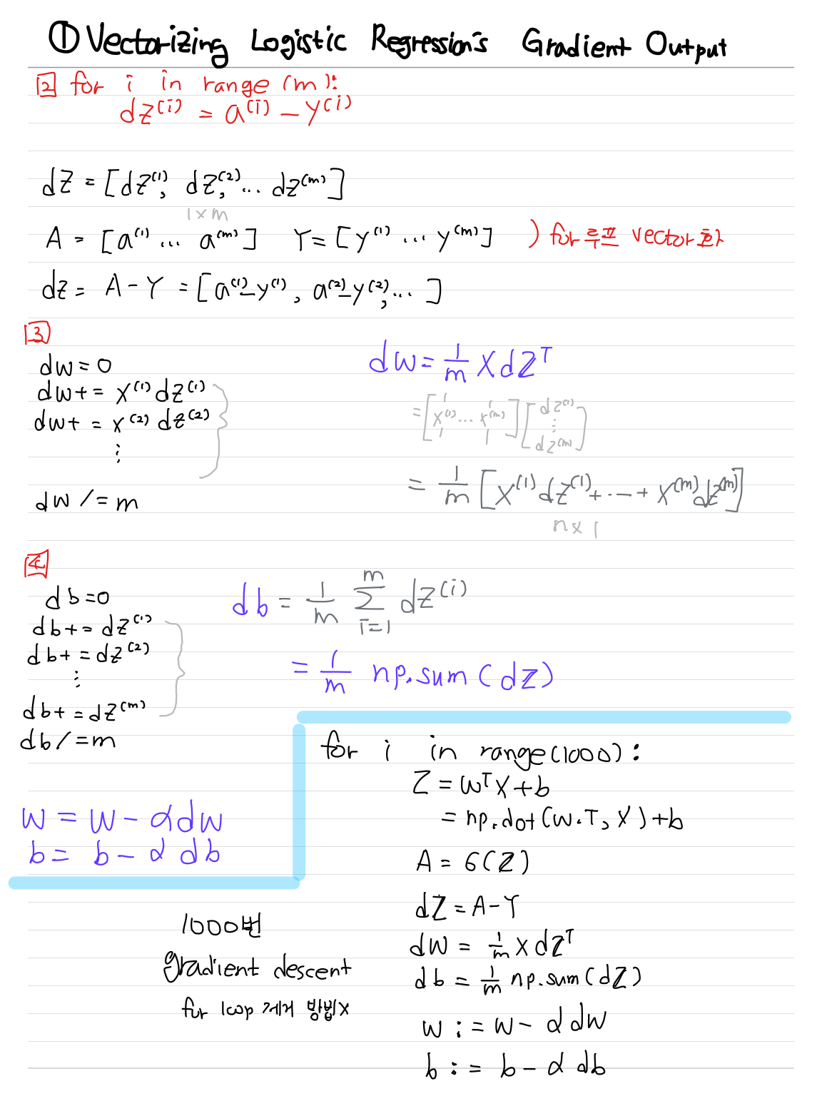
์ฑ๋ฅ ํฅ์์ ์ํด Vectorization์ ์ด์ฉํด์ for loop๋ฅผ ์ต๋ํ ์์ ์


Logistic Regression์ Cost ๋ฅผ ์ค์ด๋ฉด, ๋ชจ๋ธ์ ์ต๋ likelihood์ ๋๋ฌํ๋ ์ด์

๊ถ๊ธํ๋ ์ ์ ๋๊ธฐ์๊ฒ ์ง๋ฌธํ๋ค๊ฐ ๋ด๊ฐ ๋ต์ ์ฐพ์๋ฒ๋ ธ๋ค. : )

๊ฐ์์ Logistic Regression์์ Cost Function(J)๋ฅผ
๊ฐ training set์ ๋ํด์ Loss Function์ ๊ฒฐ๊ณผ๊ฐ์ ํ๊ท ์ผ๋ก ์ ์ํ๊ณ ์๋ค.
๋ง์ฝ ๊ฐ training set์ Loss Function ๊ฒฐ๊ณผ ๊ฐ์ ๋ถํฌ๋ฅผ ๋ณด๋ ํน์ด๊ฐ์ ๋ง์ด ํฌํจํ๊ณ ์๋ค๋ฉด,
ํ๊ท ์ผ๋ก w์ b๊ตฌํ๋ ๊ฒ์ด ์ด์์ ์ด์ง ์์ง ์๋๊ฐ?
>>> ํ๊ท ์ด ์๋ ๋ค๋ฅธ ๋ฐฉ๋ฒ(MAD)์ ์ฌ์ฉํด์ Cost Function ๊ตฌํ๋ค...
https://leechanhyuk.github.io/machine_learning/Cost_function/
[Concept summary] Cost(Loss) function์ ์ข ๋ฅ ๋ฐ ํน์ง
Cost(Loss) function
leechanhyuk.github.io